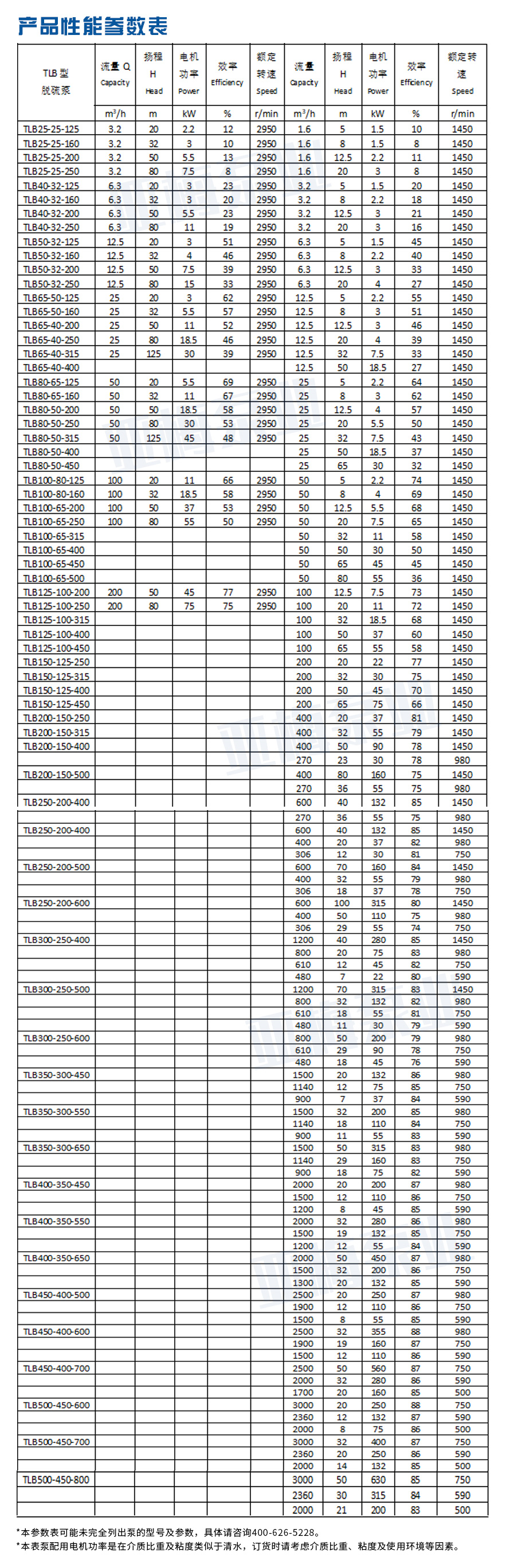
TLB型脫硫泵是亞梅泵業(yè)集團結合國內脫硫系統(tǒng)實際需要研制而成的單級單吸離心泵,符合GB/T5656標準。TLB型脫硫泵主要用于濕法FGD裝置中的漿液循環(huán)泵,漿液輸送泵。主要材質為雙相鋼2507(SAF2507,相當于德標1.4410)、Cr30A等,可根據不同的脫硫工況選擇合適的材質,優(yōu)化設計結構,使之處于高效、經濟的運行狀態(tài)。




電話
銷售部:
0523-84321059王先生:
13901425648王先生:
18351163118蔣女士:
19825546885(泵配件專線)郵 箱:
yamei166@163.com